Ore Gottlieb

I'm a theoretical high energy astrophysicist, currently Flatiron Research/THEA Fellow in the Center for Computational Astrophysics at the Flatiron Institute.
In January 2026, I will join the MIT Department of Physics as an Assistant Professor.

I combine state-of-the-art 3D general-relativistic magnetohydrodynamic simulations with analytic calculations to:
(1) Predict new multi-messenger (gravitational-wave, electromagnetic, neutrino and cosmic-ray) signals.
(2) Interpret current multi-messenger observables such as the central engines of long GRBs and short GRBs in binary mergers, superluminous supernovae, and fast blue optical transients.
(3) Formulate theoretical modeling of the fundemental properties of black holes and the underlying physics of associated catactlysmic phenomena.

Download my CV.

Recent research

The Landscape of Collapsar Outflows: Structure, Signatures and Origins of Einstein Probe Relativistic Supernova Transients

The Einstein Probe is revolutionizing time-domain astrophysics through the discovery of new classes of X-ray transients associated with Type Ic-Broad Line supernovae. These events commonly exhibit bright early-time optical counterparts, and sudden afterglow rebrightening within the first week - features that existing models fail to explain. Drawing on 3D general-relativistic magnetohydrodynamic simulations, we present the multi-scale angular and radial structure characterizing collapsar outflows. The resulting morphology features episodic, wobbling jets with a "top-hat" geometry, embedded within a smoother global cocoon and disk ejecta angular structure. The wobbling jets give rise to variations in radiative efficiency that can account for the observed alternation between X-ray-dominated and gamma-ray-dominated jet emission. The top-hat structure of individual wobbling jet episodes naturally explains the sudden rebrightening observed when the emission from the top-hat jet cores enters the observer's line of sight. The radial structure is consistent with that inferred from observations of stripped-envelope supernovae. It comprises a mildly relativistic cocoon (0.3 < Gamma*beta < 3) that may power an early (~1 day) rapidly decaying emission, followed by slower, black hole accretion disk-driven outflows (beta < 0.3), which dominate the slowly evolving optical emission at t>1 day. This novel multi-component outflow structure provides a unified explanation for the multiband light curves observed in Einstein Probe transients and is likely a common feature of Type Ic-Broad Line supernovae more broadly.
Read more in:
Collapsars as Origins of Einstein Probe Relativistic Supernova Transients

Spinning into the Gap: Direct-Horizon Collapse as the Origin of GW231123 from End-to-End GRMHD Simulations

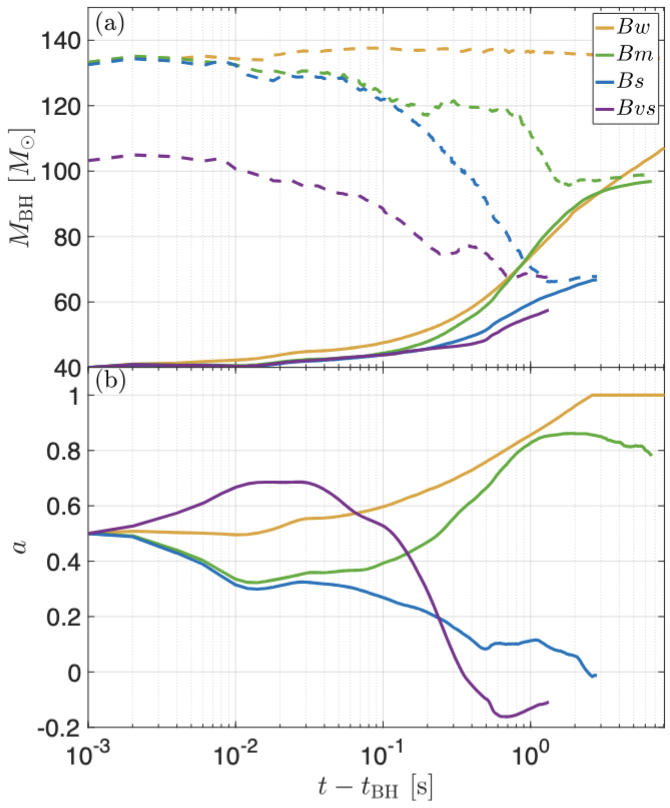
GW231123, the most massive binary black hole (BH) merger observed to date, involves component BHs with masses inside the pair-instability mass gap and unusually high spins. This challenges standard formation channels such as classical stellar evolution and hierarchical mergers. However, stellar rotation and magnetic fields, which have not been systematically incorporated in prior models, can strongly influence the BH properties. We present the first self-consistent simulations tracking a massive, low-metallicity helium star from helium core burning through collapse, BH formation, and post-BH formation accretion using 3D general-relativistic magnetohydrodynamic (GRMHD) simulations. Starting from a 250 Msun helium core, we show that collapse above the pair-instability mass gap, aided by rotation and magnetic fields, drives mass loss through disk winds and jet launching. This enables the formation of highly spinning BHs within the mass gap and reveals a BH spin-mass correlation. Strong magnetic fields extract angular momentum from the BH through magnetically driven outflows, which in turn suppress accretion, resulting in slowly spinning BHs within the mass gap. In contrast, stars with weak fields permit nearly complete collapse and spin-up of the BH to a~1. We show that massive low-metallicity stars with moderate magnetic fields naturally produce BHs whose masses and spins match those inferred for GW231123, and are also consistent with those of GW190521. The outflows launched during collapse may impart a BH kick, which can induce spin-orbit misalignment and widen the post-collapse orbit, delaying the merger.
Read more in:
Direct-Horizon Collapse as the Origin of Massive Binary Black Hole Mergers Inside the Mass Gap

A Unified Model of Kilonovae and GRBs in Binary Mergers Establishes Neutron Stars as the Central Engines of Short GRBs

What is the remnant of a binary merger? What is the engine of the GRB jets? Can we infer the merger properties from electromagnetic observations? We introduce a theoretical framework that connects binary merger populations with GRB and kilonova observations, enabling us to address these fundemntal questions. Based on our unified model and observations, we find that long binary GRBs, powered by massive accretion disks around black holes, are accompanied by bright, red kilonovae. In contrast, short binary GRBs are accompanied by comparably luminous, but bluer kilonovae, establishing hypermassive neutron stars as their engines. As a result, black hole-neutron star mergers likely contribute exclusively to the long binary GRB population with red kilonovae. Our findings suggest that GW170817 may, in fact, have been an lbGRB to on-axis observers.
Read more in:
Unified Picture of kilonovae and GRBs from Binary Mergers

She’s Got Her Mother’s Hair: End-to-End Collapsar Simulations Unveil the Origin of Black Holes' Magnetic Field

The two key ingredients for a Blandford-Znajek powered jet - rapid rotation and a strong magnetic field - seem mutually exclusive. Strong fields transport angular momentum outwards quickly, slowing down the core prior to collapse. Using MESA stellar evolution models, we show that the low net magnetic flux fed to the black hole (BH) horizon is far too small to power GRB jets. Instead, we propose a novel scenario in which the BH acquires its magnetic ''hair'' from its progenitor proto-neutron star (PNS), which is likely highly magnetized from an internal dynamo. The PNS spin-down energy released before collapse matches the kinetic energy in Ic-BL supernovae, while the nascent BH's spin and magnetic flux produce jets consistent with the characteristics observed in GRBs. We map our MESA models to 3D GRMHD simulations and confirm that accretion disks confine the strong magnetic flux initiated near a rotating BH, enabling the launch of GRB jets, whereas a slower spinning BH or one without a disk fails to do so.
Read more in:
How Collapsar Black Holes Acquire Their Magnetic Fields

Late Jets, Early Sparks: Illuminating the Premaximum Bumps in Superluminous Supernovae

Superluminous supernovae (SLSNe), which radiate 10-100 times more energy than ordinary stellar explsions, are considered to be powered by a millisecond magnetar or accreting black hole. Both black hole and magnetar engines are expected to channel a fraction of their luminosity into a collimated relativistic jet. Using 3D simulations, we explore the interaction of a relativistic jet with a duration of days compatible with those needed to power SLSNe, launched into the envelope of the exploding star. The jet successfully breaks through the expanding ejecta and its radiatively efficient shocked cocoon powers ultraviolet/optical emission lasting several days after the explosion. The luminosity and temperature of the cocoon emission match those of the ''bumps'' in SLSNe light curves observed weeks prior to the optical maximum in many SLSNe.
Read more in:
Jets Illuminating the SLSN Early Bumps

In LIGO’s Sight? Vigorous Coherent Gravitational Waves from Cooled Collapsar Disks

First numerical study of gravitational waves (GWs) from collapsar disks. In strongly-cooled disks, trapped Rossby vortices generate vigorous coherent emission. Assuming an optimistic detection threshold of matched-filter SNR=20 and a rate similar to supernovae Ib/c, LIGO-Virgo-KAGRA (LVK) could detect ~1 event annually, suggesting that GW events may already be hidden in observed data. The GW amplitudes from collapsar disks are >100 higher with a substantially greater event rate than those expected from core-collapse supernovae, making them potentially the most promising burst-type GW class for detection in LVK and Cosmic Explorer. This highlights the importance of further exploration and modeling of GWs from collapsar disks, promising insights into the physics of collapsing stars.
Read more in:
Vigorous Coherent GWs from Collapsar Disks

A Unified Picture of Short and Long Gamma-ray Bursts from Compact Binary Mergers

First theoretical framework that connects the underlying physics of binary systems to GRB observations. It provides a first-pricinples explanation for the origin of the constant power GRB prompt emission and decaying extended emission for the first time. Massive post-merger accretion disks, which arise from unequal-mass NS-NS mergers, inevitably produce long GRBs such as 211211A. At the same time, both meta-stable NSs and newly formed BHs remain viable candidates as central engines for standard short GRBs.
Read more in:
Unified Picture of GRBs from Binary Mergers

BH-NS mergers

First numerical simulations that track the evolution of a black hole-neutron star merger from pre-merger to r>1e11 cm. The disk that forms after a merger of mass ratio q=2 ejects massive disk winds (3e-2−5e−2 Msol). The resulting jets feature excessive duration compared to typical short gamma-ray bursts (sGRBs). This provides a natural explanation for long sGRBs such as GRB 211211A. The jet-wind interaction leads to a power-law angular energy distribution by inflating an energetic cocoon which emits strong wide-angle emission.
Read more in:
Seconds-long GRB emission
Hours-ling cocoon emission

Collapsar black holes are slowly spinning

The connection between the black hole spin and the jet power enables us to contrain the natal spin of black holes from observations of GRBs. The characteristic GRB luminosity indicates that black holes are most likely slowly spinning. Furthermore, collapsar black holes undergo substantial spin-down as the jets extract their angular momentum, converging to dimensionless spins of ~0.2.
Read more in:
Collapsar Black Holes Are Likely Born Slowly Spinning
Collapsar Gamma-ray Bursts Grind their Black Hole Spins to a Halt

New LVK-detectable Gravitational-wave Sources

A new class of noninspiral GW sources-the end states of massive stars-that can produce the brightest simulated stochastic GW burst signal in the LVK bands known to date, and could be detectable in LVK run A+. Some dying massive stars launch bipolar relativistic jets, which inflate a turbulent energetic bubble-cocoon-inside of the star, which emits quasi-isotropic GW emission in the LVK band, ~10-100 Hz, over a characteristic jet activity timescale ~10-100 s.
Read more in:
Jetted and Turbulent Stellar Deaths: New LVK-detectable Gravitational-wave Sources

GRMHD simulations of outflows from black holes to the photosphere

First 3D general-relativity magnetohydrodynamic simulations that span over six orders of magnitude in space and time. The simulations shift the evolution paradigm by revealing inevitable misalignment between the jet and the black hole rotational axis. As a result, the jet wobbles, implying lower intrinsic GRB rates and can naturally explain the long-standing mystery of quiescent times in GRB lightcurves.
Read more in:
Black Hole to Photosphere: 3D GRMHD Simulations of Collapsars Reveal Wobbling and Hybrid Composition Jets

Shocked jets in CCSNe can power FBOTs

Relativistic jets in hydrogen-rich collapsing stars can naturally explain the multi-wavelength fast blue optical transient (FBOT) observables: The jet-star interaction forms a cocoon which powers cooling emission during the first few weeks. The cocoon-CSM interaction generates synchrotron self-absorbed emission in the radio bands, featuring a steady rise on a month timescale. After a few months the relativistic outflow decelerates, enters the observer’s line of sight, peaks in radio and decays thereafter. The cocoon becomes optically thin to X-rays ∼ day after the collapse, allowing X-ray photons to diffuse from the central engine to the observer.
Read more in:
Shocked jets in CCSNe can power the zoo of fast blue optical transients

The propagation of relativistic jets in expanding media

Comprehensive analytic model of relativistic jet propagation in expanding homologous media, covering the entire jet evolution as well as a range of configurations that are relevant to binary mergers. These include low- and high-luminosity jets, unmagnetized and mildly magnetized jets, time-dependent luminosity jets, and Newtonian and relativistic head velocities. The model provides simple analytic formulae (calibrated by 3D simulations) for the jet head propagation and breakout times.
Read more in:
The propagation of relativistic jets in expanding media

Origin of neutrino null detection in GRBs

Mixing between the jet and cocoon, which is present in all types of jets, inhibits the formation of subphotospheric collisionless shocks. However, a mild magnetization may lead to the formation of collisionless subshocks, which allow efficient proton acceleration. Considering shear acceleration and diffusive shock acceleration at collimation shocks, internal shocks, shock breakout, and external shocks, we provided the first estimate for neutrino and cosmic-ray signals from self-consistent simulations of GRBs in binary neutron star (BNS) mergers and collapsars.

Read more about GRBs in BNS mergers in:
The role of jet-cocoon mixing, magnetization and shock breakout in neutrino and cosmic-ray emission from short GRBs

Read more about GRBs in collapsars in:
State-of-the-Art Collapsar Jet Simulations Imply Undetectable Subphotospheric Neutrinos

Lead-author papers

  1. O. Gottlieb, The Landscape of Collapsar Outflows: Structure, Signatures and Origins of Einstein Probe Relativistic Supernova Transients, ApJL, 992, 3 (2025).
  2. DOI
  3. O. Gottlieb, B. D. Metzger, D. Issa, S. E. Li, M. Renzo, M. Isi, Spinning into the Gap: Direct-Horizon Collapse as the Origin of GW231123 from End-to-End GRMHD Simulations, ApJL, 993, 54 (2025).
  4. DOI
  5. O. Gottlieb, B. D. Metzger, F. Foucart, E. Ramirez-Ruiz, A Unified Model of Kilonovae and GRBs in Binary Mergers Establishes Neutron Stars as the Central Engines of Short GRBs, ApJ, 984, 77 (2025).
  6. DOI
  7. O. Gottlieb, M. Renzo, B. D. Metzger, J. A. Goldberg, M. Cantiello, She’s Got Her Mother’s Hair: End-to-End Collapsar Simulations Unveil the Origin of Black Holes' Magnetic Field, ApJL, 976, 13 (2024).
  8. DOI
  9. O. Gottlieb, B. D. Metzger, Late Jets, Early Sparks: Illuminating the Premaximum Bumps in Superluminous Supernovae, ApJL, 974, 1 (2024).
  10. DOI
  11. O. Gottlieb, Y. Levin, A. Levinson, In LIGO's Sight? Vigorous Coherent Gravitational Waves from Cooled Collapsar Disks, ApJL, 972, 4 (2024).
  12. DOI
  13. O. Gottlieb, B. D. Metzger, E. Quataert, D. Issa, T. Martineau, F. Foucart, M. D. Duez, L. E. Kidder, H. P. Pfeiffer, M. A. Scheel, A Unified Picture of Short and Long Gamma-ray Bursts from Compact Binary Mergers, ApJL, 958, 33 (2023).
  14. DOI
  15. O. Gottlieb, D. Issa, J. Jacquemin-Ide, M. Liska, F. Foucart, A. Tchekhovskoy, B. D. Metzger, E. Quataert, R. Perna, D. Kasen, M. D. Duez, L. E. Kidder, H. P. Pfeiffer, M. A. Scheel, Large-scale Evolution of Seconds-long Relativistic Jets from Black Hole-Neutron Star Mergers, ApJL, 954, 21 (2023)
  16. DOI
  17. O. Gottlieb, D. Issa, J. Jacquemin-Ide, M. Liska, A. Tchekhovskoy, F. Foucart, D. Kasen, R. Perna, E. Quataert, B. D. Metzger, Hours-long Near-UV/Optical Emission from Mildly Relativistic Outflows in Black Hole-Neutron Star Mergers, ApJL, 953, 11 (2023)
  18. DOI
  19. O. Gottlieb, J. Jacquemin-Ide, B. Lowell, A. Tchekhovskoy, E. Ramirez-Ruiz, Collapsar Black Holes are Born Slowly Spinning, ApJL, 952, 32 (2023)
  20. DOI
  21. O. Gottlieb, H. Nagakura, A. Tchekhovskoy, P. Natarajan, E. Ramirez-Ruiz, J. Jacquemin-Ide, N. Kaaz, V. Kalogera, Jet-Inflated Cocoons in Dying Stars: New LIGO-Detectable Gravitational Wave Sources, ApJL, 951, 30 (2023)
  22. DOI
  23. O. Gottlieb, S. Moseley, T. Ramirez-Aguilar, A. Murguia-Berthier, M. Liska, A. Tchekhovskoy, On the jet-ejecta interaction in 3D GRMHD simulations of binary neutron star merger aftermath, ApJL, 933, 2 (2022)
  24. DOI
  25. O. Gottlieb, M. Liska, A. Tchekhovskoy, O. Bromberg, A. Lalakos, D. Giannios, P. Mosta, Black hole to photosphere: 3D GRMHD simulations of collapsars reveal wobbling and hybrid composition jets, ApJL, 933, 9 (2022)
  26. DOI
  27. O. Gottlieb, A. Tchekhovskoy, R. Margutti, Shocked jets in CCSNe can power the zoo of fast blue optical transients, MNRAS, 513, 3810 (2022)
  28. DOI
  29. O. Gottlieb, A. Lalakos, O. Bromberg, M. Liska, A. Tchekhovskoy, Black hole to breakout: 3D GRMHD simulations of collapsar jets reveal a wide range of transients, MNRAS, 150, 4962 (2022)
  30. DOI
  31. O. Gottlieb, E. Nakar, The propagation of relativistic jets in expanding media, MNRAS, 517, 1640 (2022)
  32. DOI
  33. O. Gottlieb, N. Globus, The role of jet-cocoon mixing, magnetization and shock breakout in neutrino and cosmic-ray emission from short GRBs, ApJL, 915, 4 (2021)
  34. DOI
  35. O. Gottlieb, O. Bromberg, A. Levinson, E. Nakar, Intermittent mildly magnetized jet as the source of GRBs, MNRAS, 504, 3947 (2021)
  36. DOI
  37. O. Gottlieb, E. Nakar, O. Bromberg, The structure of hydrodynamic γ-ray burst jets, MNRAS, 500, 3511 (2021)
  38. DOI
  39. O. Gottlieb, O. Bromberg, C.B. Singh, E. Nakar, The structure of weakly-magnetized γ-ray burst jets, MNRAS, 498, 3320 (2020)
  40. DOI
  41. O. Gottlieb, A. Levinson, E. Nakar, Intermittent hydrodynamic jets in collapsars do not produce GRBs, MNRAS, 495, 570 (2020)
  42. DOI
  43. O. Gottlieb, A. Loeb, Electromagnetic signals from the decay of free neutrons in the first hours of neutron star mergers, MNRAS, 493, 1753 (2020)
  44. DOI
  45. O. Gottlieb, A. Levinson, E. Nakar, High efficiency photospheric emission entailed by formation of a collimation shock in gamma-ray bursts, MNRAS, 488, 1416 (2019)
  46. DOI
  47. O. Gottlieb, E. Nakar, T. Piran, Detectability of neutron star merger afterglows, MNRAS, 488, 2405 (2019)
  48. DOI
  49. Equal contribution authors: K. P. Mooley*, A. T. Deller*, O. Gottlieb*,
    E. Nakar, G. Hallinan, S. Bourke, D. A. Frail, A., Horesh, A. Corsi, K. Hotokezaka, Superluminal motion of a relativistic jet in the neutron star merger GW170817, Nature, 561, 355 (2018)
  50. DOI
  51. O. Gottlieb, E. Nakar, T. Piran, K. Hotokezaka, A cocoon shock breakout as the origin of the γ-ray emission in GW170817, MNRAS, 479, 588 (2018)
  52. DOI
  53. O. Gottlieb, E. Nakar, T. Piran, The cocoon emission - an electromagnetic counterpart to gravitational waves from neutron star mergers, MNRAS, 473, 576 (2018)
  54. DOI

Recorded talks

Press release

Title Source
The Impossible Black Holes That Shouldn't Exist Yahoo!
msn
Space.com
Live Science
UNIVERSE TODAY
PHYS.org
ScienceDaily
Simulations reveal black holes inherit magnetic fields from parent stars PHYS.org
UNIVERSE TODAY
Astrophysical simulations predict new detectable gravitational wave source from collapsing stars PHYS.org
UNIVERSE TODAY
The elusive origins of long gamma-ray bursts may finally be revealed Space.com
PHYS.org
ScienceDaily
Scientists find explanation for ‘impossible’ blast of light that hit Earth Yahoo!
msn Space.com
PHYS.org
ScienceDaily
Dying stars' cocoons could be new source of gravitational waves Yahoo!
Sky & Telescope
Space.com
Live Science
PHYS.org
ScienceDaily
IFLScience
Falling stardust, wobbly jets explain blinking gamma ray bursts INDEPENDENT
Yahoo!
Space.com
News9
PHYS.org
ScienceDaily
Astronomy
Otherworldly blue lights in space are no longer shrouded in mystery Yahoo!
Sky & Telescope msn
Space.com
News9
PHYS.org
ScienceDaily
ORDO News
Exactly how fast is the universe expanding? PHYS.org
ScienceDaily
Faster Than Light? Neutron-Star Merger Shot Out a Jet with Seemingly Impossible Speed SCIENTIFIC AMERICAN Yahoo!
UNIVERSE TODAY
Space.com
ScienceDaily

Contact